概论
信息及其度量
消息与信息
消息:包含信息的事物
信息:消息中包含的有效内容
信息具有不确定性
信号
信号是消息的载体,是一种电波形
信号分为模拟信号(连续信号)和数字信号(离散信号)
模拟信号
模拟信号占有频带一般都比较窄,其频带利用率较高,缺点是抗干扰能力差,不易保密,设备元器件不易大规模集成。
数字信号
比模拟信号占据更宽的系统频带
优点
1.抗干扰、抗噪声性能好
2.差错可控
3.易加密
4.数字通信设备和模拟通信设备相比,设计和制造更容易,体积更小,重量更轻
5.数字信号可以通过信源编码进行压缩,以减少冗余度,提高信道利用率。
6.易与现代技术相结合
信息量
信息量与消息的种类、特定内容及重要程度无关,仅仅与消息中包含的不确定度有关。消息发生的概率越小,该消息包含的信息量越大。消息发生的概率趋近于0,则其信息量趋近于无穷大。
信息论中,消息所含的信息量I与消息X出现的概率P(x)的关系为:
$$
I={log_a{\frac1{P(x)}}}=-{log_a{P(x)}}\
信息量的单位由对数底的取值决定\
a=2时单位为“比特”\
a=e时单位为“奈特”\
a=10时单位为“哈特”\
通常采用“比特”作为信息量的实用单位
$$
I代表两种含义:当事件X发送以前,表示事件X发送的不确定性;当事件X发生以后,表示事件X所含有的信息量。
设离散信息源是一个由n个符号组成的集合,符号集中的每个字符Xi在消息中是按一定概率P(xi)独立出现的,又设符号集中各符号出现的概率为
改变信源每个符号所含的信息量的统计平均值,即平均信息量为:
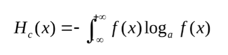
连续消息的信息量可以用概率密度来描述,可以证明连续消息的平均信息量(相对熵)为:
f(x)是连续消息出现的概率密度
通信系统
通信系统基本模型
信源:将消息转换为原始电信号(基带信号)。
发送设备:将输入的电信号变成适合信道传输的形式(调制、滤波、放大、发射)包含信源编码和信道编码。
信道:将信号从发送设备向接收设备传送的物理媒质,包含有线信道和无线信道。
接收设备:从带干扰的接收信号中恢复出相应的原始电信号(解调、滤波、抑制噪声)。
受信者(信宿):将原始电信号转换成为消息。
信源编码:可分为压缩编码和保密编码,提高数字信号传输的有效性,信源编码器输出的是信息码元,话音和图像压缩编码都是信源编码器完成的
信道编码(纠错编码):提高数字信号传输的可靠性,其基本做法是在信息码组中按一定的规则附加一些监督码元,以使接收端根据相应的规则进行检错和纠错
数字调制:将所传输的数字序列的频谱搬移到合适信道传输的频带范围内,使其适应信道传输的要求,基本的调制方式有幅移键控(ASK)、频移键控(FSK)和相移键控(PSK)
加性干扰:噪声叠加在信号上
乘性干扰:多径传播是一种是信号质量降低的干扰,多径传播是信号振幅随机起伏的现象称为衰落。将这种衰落称为乘性干扰或乘性噪声。
在接收设备端的原始电信号还能称为基带信号吗?不是,带有噪声
通信方式
1.按信息传输的方向与时间关系划分通信方式
对于点对点之间的通信,按信息传送的方向与时间的关系,通信方式可分为单工通信,半双工通信及全双工通信
单工通信:广播、遥控、无线寻呼等
半双工通信:无线对讲机、收发报机等
全双工通信:电话、计算机网络通信等

2.按数字信号码元排列方式划分通信方式
在数字通信中按照数字码元排列顺序的方式不同,可将通信方式分为串行通信和并行通信。

并行通信
将代表信息的数字信号码元序列分割成两路或两路以上的数字信号序列同时在信道上传输。
优点:速度快、节省传输时间,但需占用频带宽,设备复杂,成本高,故较少采用,适用于短距离通信。
串行通信
将代表信息的数字信号码元序列按照时间顺序一个接一个地传输
适用于远距离传输
3.按网络结构划分通信方式
线型、星型、树型、环形等等
通信系统的分类
1.按传输媒质分类
有线通信系统和无线通信系统
2.按信号的特征分
模拟通信系统和数字通信系统
3.按工作频段分类
长波通信、中波通信、短波通信、微波通信

工作波长和频率的换算公式为:
$$
\lambda=\frac cf=\frac{3x10^8}f\
其中\lambda为工作波长(m),f为最高工作频率(Hz),c为光速(m/s)
$$
4.按调制方式分类
基带传输系统和频带(调制)传输系统
5.按通信业务类型分类
电报通信系统、电话通信系统、数据通信系统和图像通信系统
6.按信号复用方式分类
频分复用(FDM)、时分复用(TDM)、码分复用(CDM)通信系统
模拟通信系统
传输模拟信号的系统,在信道中传输模拟信号。

发信人的语音信息经过变换器转变成电信号(模拟信源),然后由调制器放大后在信道中传输
原始电信号(基带信号)进行调制是为了提高频带利用率,使多路信号同时在信道中传输。
在接收端,经过解调器和你变换器还原成语音信息。
数字通信系统

数字频带传输通信系统:;利用数字信号来传递信息的通信系统,分为数字频带传输通信系统和数字基带传输通信系统。
数字通信系统有一个非常重要的控制单元:同步系统,可以使通信系统的收、发两端或整个通信系统,以精度很高的时钟提供定时,以使系统数据流能与发送端同步、有序而准确地接受和恢复原信息
变换器:将信息转换成数字基带信号

数字基带传输通信系统:与频带传输通信系统对应,把没有调制/解调器的数字通信系统称为数字基带传输通信系统
基带信号形成器:可能包含编码器、加密器以及波形变换等
接收滤波器:可能包含译码器、解密器等
通信系统的性能指标
评价通信系统优劣的主要性能指标是系统的有效性和可靠性
有效性:指消息传输的“速度”问题
可靠性:指消息传输的“质量”问题
二者经常矛盾,反比
模拟通信系统的性能指标
模拟通信系统的有效性指标用所传信号的有效传输带宽来表征。当信道容许传输带宽一定,而进行多路频分复用时,每路信号所需的有效带宽越窄,信道内复用的路数越多
信道复用的程度越高,信号传输的有效性越好
信号的有效传输带宽与系统采用的调制方法有关
模拟通信系统的可靠性指标用整个通信系统的输出信噪比来衡量。信噪比是信号的平均功率S与噪声的平均功率N之比。信噪比越高,说明噪声对信号的影响越小。显然,信噪比越高,通信质量就越好。
输出信噪比一方面与信道内噪声的大小和信号的功率有关,同时又和调制方式有很大关系。例如宽带调频系统的有效性不如调幅系统,但是调频系统的可靠性往往比调幅系统好。
数字通信系统的性能指标
有效性指标
数字通信系统的有效性指标用传输速率和频带利用率来表征。
传输速率
传输速率有三种表示方式:
$$
码元传输速率R_B\信息传输速率R_b\消息速率R_M
$$
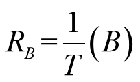
码元传输速率
简称传码率,又称符号速率等。它表示单位时间内传输码元的数目,单位是波特(Baud),记为B。
它表示单位时间内传输码元的数目,单位是波特(Baud),记为B。
例如,若1秒内传2400个码元,则传码率为2400B。
数字信号有多进制和二进制之分,但码元速率与进制数无关,只与传输的码元长度T有关

信息传输速率
简称传信率,又称比特率等。它是指系统每秒钟传送的信息量,单位是比特/秒,常用符号“bit/s、bps或b/s”表示
它表示单位时间内传递的平均信息量或比特数
$$
在N进制下,设信息速率为R_b(bit/s),码元速率为R_{BN}(Baud),由于每个码元或符号通常\都含有一定比特的信息量,因此码元速率和信息速率有确定的关系,即:\
R_b=R_{BN}H(x)\ \ \ \ \ (bit/s)\
式中,H(x)为信源中每个符号所含的平均信息量(熵)。当离散信源的每一符号等概率出现\时,熵有最大值为{log_2N}(bit/符号),信息速率也达到最大,即:\
R_b=R_{BN}{log_2N}\ (bit/s)\
R_{BN}=\frac{R_b}{log_2N}\ (Baud)
$$
消息速率
单位时间内传输的消息数目。例如,传输中文文件时,消息速率的单位是“字/秒”
码元速率与信息速率的关系
每个码元或符号通常都含有一定bit数的信息量,因此码元速率和信息速率有确定的关系

H为信源中每个符号所含的平均信息量(熵)
M进制、等概率传输时,熵有最大值,信息速率也达到最大
](https://i.loli.net/2020/10/02/ZrAknGNFxgo9pj7.png)
码元速率为1200B
采用八进制(M=8)时,信息速率为3600b/s;
采用二进制(M=2)时, 信息速率为1200b/s,
二进制的码元速率和信息速率在数量上相等,有时简称它们为数码率。
可靠性指标
错误率
衡量数字通信系统可靠性的指标是差错率, 常用误码率和误信率表示。
误码率(码元差错率Pe )是指发生差错的码元数在传输总码元数中所占的比例,更确切地说,误码率是码元在传输系统中被传错的概率,即

误信率(信息差错率Pb )是指发生差错的比特数在传输总比特数中所占的比例, 即

实际中分析误信率(二进制就是误码率),可用

Pe与Pb的关系:
二进制—— Pb= Pe
M进制—— Pb< Pe